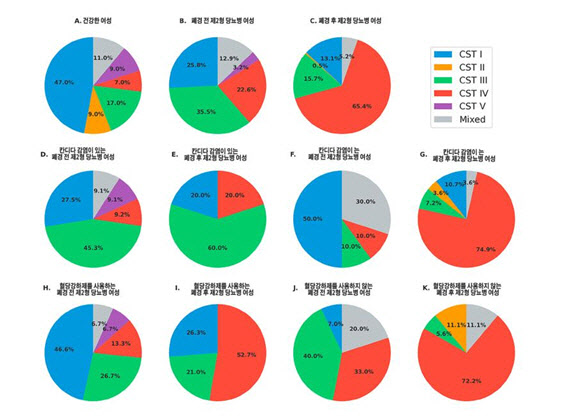
가톨릭대학교 부천성모병원 산부인과 김민정 교수는 서울성모병원 진단검사의학과 김명신 교수, 인천성모병원 진단검사의학과 이승옥 교수와 함께 제2형 당뇨병을 진단받은 여성 71명과 건강한 여성 100명을 대상으로 질내 미생물 상태를 분석, 폐경 여부, 칸디다 감염 유무, 나트륨-포도당 공동수송체 2(SGLT2) 억제제 복용 여부에 따라 당뇨병 여성은 건강한 여성에 비해 질내 유익균 비율이 현저히 낮고, 반대로 유해균은 증가하는 것을 확인했다.
건강한 여성과 달리, 당뇨병 여성은 건강한 여성에 비해 질내 유익균인 락토바실러스(Lactobacillus) 비율이 현저히 낮았고, 유해균 및 혐기성 세균이 상대적으로 증가했다. 특히 폐경 이후에는 유익균 중심의 군집(CST I)이 감소하고, 염증을 유발할 수 있는 군집(CST IV)이 유의하게 증가했으며, 칸디다 감염이 있는 경우에도 유익균 비율이 감소하고, 유해균 비율이 증가하여 균형이 깨진 마이크로바이옴(모든 척추동물에 서식하는 공생 및 병원성 모든 미생물의 게놈을 설명하는 용어) 상태를 보였다. 또한 혈당강하제인 SGLT2 억제제를 복용한 폐경전 여성에서 유익균 보호 효과를 보인 반면, 폐경후 여성에서는 급격한 질내 마이크로바이옴의 균형이 깨짐을 확인하였다.
김민정 교수는 “질내 마이크로바이옴의 변화는 감염, 염증, 부인과 질환과 직결되며 특히 폐경기나 당뇨병 상태에서는 그 영향이 더욱 커진다”며 “당뇨병이 있는 여성에서 혈당 관리와 더불어 마이크로바이옴까지 포함하는 통합적 여성 건강관리가 필요하다”고 강조했다.
한편 이번 연구는 국제 학술지 마이크로오가니즘(Microorganisms)에 게재됐다.
|





